请升级浏览器版本

你正在使用旧版本浏览器。请升级浏览器以获得更好的体验。

学院动态

首页 >> 学院动态 >> 正文

应用数学系教学研讨会继续开讲

发布日期:2020-11-18    点击:


20201111日,应用数学系教学研讨会第二次会议在E602会议室进行。

首先由邢家省老师做“函数项级数一致收敛柯西判别法的改进形式及其应用”的专题报告。邢老师对经典柯西准则的表述方式给予改进,给出了判别函数项级数和含参变量广义积分非一致收敛性的一般性方法,通过大量实例说明了推进表述方法的技术指引和具体使用中的简便性。参会者就改进方法展开讨论,对改进的应用方便性提出思考。

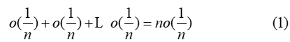
高颖辉老师做“由一道课后习题引起的思考”专题报告。高老师从一道课后习题出发,提出了

是否成立的问题,从(1)成立的意义、不成立的反例两方面进行了报告,对(1)不成立进行了剖析讲解。通过报告做出提醒,对于一般结论的使用更要小心谨慎,深入思考。

与会教师就两个报告展开讨论。

快速链接

版权所有 © 2021  澳门十大信誉好的网站|官网首页
地址:北京市昌平区高教园南三街9号   电话:61716719